decision-based adversarial attack

A decision-based threat model assumes access to the predicted label alone.
Transfer-based attack
A widely studied type of the decision-based attack is transfer-based attack. (adversarial examples generated on an ensemble of deep neural networks from a white-box attack can be transferred to an unseen neural network.) → Transferability of Adversarial Examples
(1) Papernot, N.; McDaniel, P.; Goodfellow, I.; Jha, S.; Celik, Z. B.; Swami, A. Practical Black-Box Attacks against Machine Learning. arXiv March 19, 2017. https://doi.org/10.48550/arXiv.1602.02697.
如何提高迁移性?
- 采用迁移性更强的对抗攻击算法
- 采用更为相似的替代模型: model extraction、迁移学习
梯度优化攻击
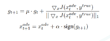
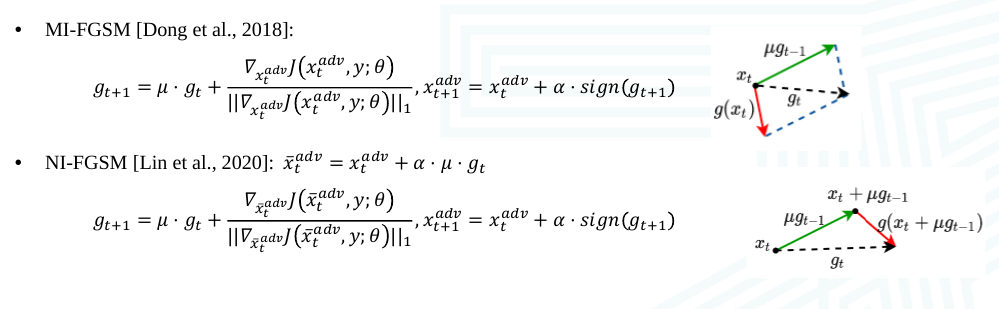
Momentum Iterative Fast Gradient Sign Method (MI-FGSM)

Yinpeng Dong, Fangzhou Liao, Tianyu Pang, Hang Su, Jun Zhu, Xiaolin Hu, Jianguo Li. Boosting Adversarial Attacks with Momentum. CVPR 2018.
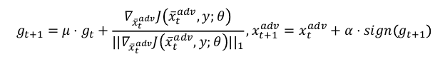
Nesterov Iterative Fast Gradient Sign Method (NI-FGSM)

Jiadong Lin, Chuanbiao Song, Kun He*, Liwei Wang, John Hopcroft. Nesterov Accelerated Gradient and Scale Invariance for Adversarial Attacks, ICLR 2020.
MI-FGSM and NI-FGSM are similar

Variance tuning Method (VMI-FGSM)

Enhancing the transferability of adversarial attacks through variance tuning. In IEEE Conference on Computer Vision and Pattern Recognition, CVPR, pages 1924–1933. Computer Vision Foundation / IEEE, 2021
Cons
However, transfer-based attack often requires a carefully-designed substitute model, or even access to part of the training data. Moreover, they can be defended against via training on a data set augmented by adversarial examples from multiple static pre-trained models.