Fast Gradient Sign Method (FGSM)
Fast Gradient Sign Method (FGSM)
FGSM is a kind of white-box Adversarial Attack designed to be fast, not optimal (may not compute minimal perturbation). It assume the local linearity of the underlying function.
Targeted
Compute the perturbation as:
where
- is a small constant
- is the loss function w.r.t. target label
t
Then the adversarial example is
I. J. Goodfellow, J. Shlens and C. Szegedy, Explaining and harnessing adversarial examples, 2014.
Untargeted
Compute the perturbation as:
with , where s is the correct label.
Variants of FGSM
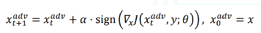
Iterative FGSM (I-FGSM)
A. Kurakin, I. Goodfellow and S. Bengio, Adversarial examples in the physical world, 2016.
\begin{equation*} x_{i}^{\prime}=x_{i-1}^{\prime}-\text{clip}_{\epsilon}(\alpha. \text{sign}(\nabla 1\text{oss}_{F, t}(x_{i-1}^{\prime}))) \end{equation*}
(untargeted?)

Iterative gradient sign was found to produce superior results to fast gradient sign